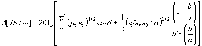
Maxwell egyenletek:
Dielektrikum hullámvezetők közelítő tárgyalása:
(numerikus apertura, többutas terjedés)
Geometriai optikai tárgyalás során jó közelítéshez jutunk, ha a szál átmérője jóval nagyobb, mint a fény hullámhossza. Az
n törésmutató függ a hullámhossztól: diszperzió lép fel. Fourier együtthatók futási ideje más-más).(a) (b) (c)
n1 > n2
Snell törvény:
n1·sin F = n2·sin F ’
Határszög:
n1·sin F c = n2 (F ’ = 90ş)
A következő ábrán henger alakú kettős üvegszál látható, melynek törésmutatója belül (mag) n
1, kívül (köpeny) n2, külső index na.
A és B közötti szög: a m ® q m ® f c q m = p - f c
2
na·sina = n1·sinq = n1·cosf
A kritikus határhelyzetben: na·sina m = n1·sinq m = n1·cosf c
de sinf c = n2
n1
2n = n1+n2
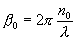
Legyen egy fényforrás (izotróp)! A kisugárzott energia a tengelyhez képesti szög függvényében:
I(q ) = I0·cosq
A teljes kibocsátott fény:
p /2 p /2
F 0 = ò (I0·cosq )2p (sinq )dq = - 2p ·I0·[ 1 cos˛q ] = p ·I0
0 2 0
A szál ebből
a m –ig tud fényt begyűjteni, így:a m a m
F = ò (I0·cosq )2p (sinq )dq = -p I0[ cos˛q ] = p ·I0·sin˛a m
így: F /F 0 = sin˛a m = (n1˛-n2˛)/ na˛
Ha na = 1, akkor F /F 0 = n1˛-n2˛ = 2nD n = (NA)˛
A fény intenzitása a határfelületen d/d’ arányban csökken.
A (tengelymenti) és B (a m-el beeső )sugár más-más utat tesz meg v=c/n sebességgel. A tengelynél a terjedési idő:
t = l·n1
c
B sugárnál (oblique): t = l·n1 = l·n1 = n1˛ ·l
c·cosq m c·sinf c n2·c
A két idő különbsége: D
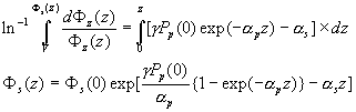
T = (l·n1· D n)/(n2· c)Mindkét oldalt l-lel osztva, kapjuk a többutas idődiszperziót (Multipath Time Dispersion):
D T = n1 . D n
l n2 c
Ha n1=1.5, n2=1 és c=3*10^8 m/s, DT/l=2.5 ms/km külső réteggel borított szál (a külső réteg törésmutatója valamivel kisebb a belsőénél)

3.1.ábra Optikai szál
Ha Dn<<n, akkor DT/l » Dn/c
Ha n=1.46, Dn=0.02, akkor NA=0.24, am=14° és a begyűjtött fény aránya (NA)˛=0.058;
2a=100…200mm,
2b=140…300mm,
D
T/l= 6.8 ·10ˉąą s/mAz optikai sávszélesség : Dfopt és a maximális bitrate Bl » Dfopt * l = l/DT » c/Dn
Sávszélesség és távolság szorzat: 15(Mb/s) * km.
A nem tengelyirányban belépő sugarak spirális utat futnak be. Ha hajlik a szál, akkor kiszóródnak. A szögben belépő sugarak a tengelyirányúnál gyorsabban csillapodnak, a sugárirányúak megmaradnak
– csökken a diszperzió.Diszperzió ~ l 1/2 Ezen típusúak csak rövid távon használhatók.
Fokozatosan változó törésmutatójú üvegszál, hullámterjedés, többutas diszperzió:
Folyamatosan változó: tengely menti hullám a leglassúbb (itt legnagyobb a törésmutató), a ferde gyorsabb, de nagyobb utat tesz meg, ezért megfelelő méretezéssel azonos lesz a futási idő!
A sugár útja a
képletből számítható, ahol ds a pályaelem.
Tengelyhez közeli hullámoknál ds » dz. Így a fenti egyenlet a következő lesz:
d˛r = 1 . dn
dz˛ n dr
most r a tengelytől való távolság.

3.4.ábra Folyamatosan változó törésmutatójú üvegszál törésmutatójának változása
Ha n profil parabolikus, akkor r szinuszosan változik.
n0[1-D’(r/a)2], ha r<a
n(r)=
n0[1-D’]=n(a)= nc, ha r ła
ahol n0 a tengelybeli törésmutató, nc a burkolatbeli és D’= (n0- nc)/n0
dn = - 2·n0·r . D’
dr a˛
Ha a sugár a tengelyhez közel halad n0/n ~ 1
d˛r = - 2r
dz˛ a˛
Ha a sugár r= r0-nál lép be (z=0) és dr = r0’, akkor a fenti egyenletet integrálva kapjuk:
dz
r0’ = 0 esetben:
r0 = 0 esetben:
Mindegyik pálya nem-diszperzív (azonos futási idők!)
Ha a paraxiális közelítést elhagyjuk – a probléma bonyolultabbá válik, de valamennyi sugár nem-diszperzív ha:
n(r) = n0·secha ·r = n0·[1-(1/2)a ˛r˛ + (5/24) a 4r4 + …..]
A parabola profil az első közelítése.
Általában:
n0 Ö 1-2Df(r), ha r£ a
n(r)=

Ha f(r)=(r/a) a „a profil"
n0 = 1.47 D = 0.0135
Részletesebb elmélet kimutatja, hogy ha a ~ 2 (1-D ), akkor minimális lesz a diszperzió.
D Tmin/l = n0D ˛/8c
Ha n0 = 1.47, nc = 1.45, így D = 0.0135 és a = 1.973 D Tmin/l = 110 ps/km elméletileg, b l~9GHz·km
a függvényében meredeken változik! Elérhetők akár 1 ns/km diszperziójú szálak b l~1 GHz·km
Módusok: (vezetett hullámok)
Maxwell egyenletek megoldása, határfeltétel a köpeny és a mag. Legegyszerűbb esetben (csak mag, hengeres) végtelen kiterjedésű köpeny.
Egyszerű megoldás (síkhullám): TEM (transzverzális elektromos), amikor E ^
B ^ terjedési irány, mivel vp¹ c/n l m º l /n.Ha z irányba terjed:
Ez(z,t) = E0 exp{-j(w t-b z)}
¯
k=2p /l m
fázissebesség: vp=w /k
Szálakban e r(r)-a hullám nem tisztán TEM: E és H rendelkezik axiális együtthatóval.
Ez , Hz ® a megoldások formája hengeres/skalár koordinátarendszerben:
Y =Y (r,f )exp{-j(w t-kz)}
Y (r,f ) komplex: az amplitudót és fázist is reprezentálja.
Y (0,f )=¥ és Y (¥ ,f )= 0 sajátérték megoldásokat eredményeznek ezek a feltételek. Kapunk egy k-w összefüggést, ezek a diszkrét értékek a módusok.
Ha több lehetséges® többmódusú szálak. Mindegyik módus más-más fázis- és csoportsebességgel terjed. A módusok száma arányos a mag keresztmetszetével és (NA)˛-tel. Tipikusan kb 1000 módus van. Szorzatot véve® egymódusú szál. Ennek feltétele:
2a < 2,405l .
akkor a határhullámhossz:
2,405
Ha l = 1300nm, 2a = 8,5 m m és D n = 0,004, akkor l c0 =1200 nm.
Nagytávolságú telefonvonalakhoz használják. Nagyintenzitású, kisfelületű fényforrás szükséges hozzá. Lézer egyik múdusát becsatoljuk a szálba (~1mW teljesítmény). LED-nél sokkal kisebb fény vehető ki. (~nW: él-emittálásból; 10m W: felületi emittálásból)
Diszperzió:
Különböző frekvenciájú módusok
más-más sebességgel terjednek. De n is hullámhosszfüggő, amely anyagi diszperzióhoz vezet.Szimmetrikus, sík hullámvezetők:
(Fontos: optikában és lézerekben)
E és H keresztirányú- valamint D és B normál együtthatói a határfelületen folytonosak. Ebből következik a törési
törvény és a teljes reflexió. De ha f < f c , akkor is van valamennyi reflexió (Fresnel-reflexió). Ez más-más a határfelületre merőleges, valamint az azzal párhuzamos (E és H) komponensekre. Teljes reflexiónál van egy fázisváltozás, mely változik a beesési szöggel. A reflexió valójában a határfelület mögött történik (Goos-Hänchen eltolódás). A hullám z irányba terjed:
A sugár fázissebessége:
vp= l m·f = c/n1
A tengelyirányú komponensre:
(vp) z = vp cosq ; k=k1cosq
ahol k1 a hullám, k a tengelyirányú komponens sebessége.
A begyűjtés határszöge: sinf
c = cosq m = n2/n1 ,vagy k helyett b -val jelölve: b min = b 1 cosq m = b 1 n2/n1 = b 2
A tengelymenti hullámok tehát b 1 , az attól legjobban eltérők b 2 hullámszámmal terjednek
b 2 < b < b 1
A reflektált hullámok interferálnak. Ha az útkülönbség il m , nem oltják ki egymást.
2d (1-cos2q ) = 2d (1-cos˛q +sin˛q ) = 4dsinq = i·l m = i·l / n1
sinq sinq
sinq = i·l /(4n1d) ahol i = 1,2,3….
Ezek a hullámok terjedhetnek b 1 módussal. Mivel q i £ q m a módusok száma korlátozott.
Az i-edik módus csak akkor tud terjedni , ha:
Az i-edik módusra i<M , azaz:
ha ennél nagyobb a hullámhossz, akkor nem terjed. Nincsen totális reflexió, hanem törés jön létre a határfelületen – ez a sugárzásos módus.
Vezetett módusok:
TE módus ® Ez nulla
TM módus ® Hz nulla
TE módust tárgyaljuk, ez kielégíti az alábbi egyenletet:
d˛Ey + [ w ˛n˛(x)/c˛ - b ˛] Ez = 0
dx˛
n˛(x)=n1˛ a -d < x < d tartományban és n˛(x)=n2˛ az x < -d és x > d tartományban.
Ey és Hy folytonosak x = ± d-nél , ezért a hullámvezető rétegben:
d˛Ey + [ w ˛n1˛/c˛ - b ˛] Ey = d˛Ey + u˛ Ey = 0
dx˛ dx˛
A két határoló rétegben:
d˛Ey - [b ˛ - w ˛n2˛/c˛ ] Ey = d˛Ey - w˛ Ey = 0
dx˛ dx˛
ahol u˛= w ˛n1˛/c˛ - b ˛ = b 1˛ -b ˛ és w˛= b ˛ - w ˛n2˛/c˛ = b ˛ -b 2˛
A hullámvezetéshez kell:
b 1˛ = w ˛n1˛/c˛ > b ˛ > w ˛n2˛/c˛ = b 2˛
Ekkor a megoldás a közép-rétegekben szinuszos (azaz hullám), míg a szélekben exponenciálisan csökkenő. Ha u képzetes, nem lehetséges véges térrel kielégíteni a határfeltételeket. Ha w képzetes,
a határoló rétegekben is terjed hullám (sugárzási módus).Ekkor:
Ey(x)= Escos(ux) |x|<d és Ey(x)= Ec exp (-wx) |x|>d esetén a vezető rétegben Ez szinuszos és lehet szimmetrikus vagy aszimmetrikus.
A félperiódusok száma jellemzi a módust, meghatározza azt és így a módus terjedési jellemzőit.

Hullámegyenletek száma m-1.
A vezetett módusok száma meghatározhatók a peremfeltételekből.
m módus (félperiódusok száma) esetén u = um és w = wm
Ey(d) = Escos(umd) = Ec exp (-wmd)
és dEy = -um· Essin(umd) = -wm·Ec exp (-wmd)
dx (x=d)
A két egyenlet egymással osztva adódik:
wmd = umd· tg(umd)
Az aszimmetrikus módusra:
-wmd = umd/ tg(umd)
Ezek transzcendens egyenletek és grafikusan oldhatók meg.
A V paraméter definíciója:
c l normalizált frekvencia
V<p /2 esetén csak egy TE módus létezik. Ha p /2<V<p , két TE módus van (egy szimmetrikus és aszimmetrikus). Ha p <V<3p /2 három módus és így tovább. Így a TE módusok maximális száma 2V/p -nél nagyobb, azt követő egész szám.
Hasonlóképp definiálható a normált terjedési együttható (b) planár vezetőben:
b = b ˛-b 2˛ = 1-(ud/v)˛ = (wd/v)˛
b 1˛-b 2˛
Mivel b 2 < b < b 1 ezért 0 £ b £ 1

Ha V ® mp /2 b® 0, b = b 2 és a módushatár alatti levágásra V<mp i/2, a belső reflexió feltétel nem teljesül, a módus nem terjed.
A különböző módusok levágási frekvenciái egyenlő távolságra vannak egymástól. Hengeres fényvezetőnél nem ez a helyzet: V<p /2-nél csak alap TE módus tud terjedni. Ez akkor van ha
d < l .
A határon a reflexiónál van fázisugrás is, ezt nem vettük figyelembe. Ekkor V függvény függ m-től és n
2-től is. Ez az analízis a gyengén vezető határesete, amikor:D = n1˛-n2˛ @ n1-n2 < < 1
2n1˛ n1
Anyag okozta diszperzió:
Elmélet: elektromágneses hullám az anyag atomjaival kölcsönhatásba lép. Ez frekvenciafüggő (diszperzív az anyag, az impulzusok szétkenődnek).
A hullám csillapodik:
Ex(z,t) = E0exp(-az) exp[-j(w t-b z)] = E0exp{-j[w t-(b +ja)z]}
Így definiálhatjuk a komplex törésmutatót:
n* = n+jn’= c(b +ja)/w
c/v = n = cb /w
n’= ca/w
Az anyag polarizálódik fény hatásásra (az atomok elektromos struktúrája rezeg a hullám frekvenciájával).A rezgő töltés új hullámot bocsát ki, amely interferál a fénnyel. Így annak laz eredetihez képest fáziseltolódása lesz..Ez folyamatosan történik a teljes fázistolás arányos a terjedési távolsággal és az eredeti hullám kisebb fázissebességgel tud terjedni.
Kölcsönhatás: csillapított rezgések
Rezonancia feletti frekvebciákon az anyag nem tudja követni az elektromos teret polarizációval ® n csökken.
A statikus tér a dielektrikumot polarizálja ® e r eredete.
a
polarizálhatóság, dielektomos dipólus momentum, amit a tér keltett: px = aExA térfogati polarizáció Px (volume polarization)
Px = N px = NaEx
A relativ dielektromos állandó er = e0·Ex+Px = 1 + Px .
e0·Ex e0·Ex
azaz: e r = 1 + Na/e0
Szilárd testekben egy molekula polarizálódása a környező molekulákat is polarizálja. Köbös rácsnál minden polarizálható molekula egy gömbüregben van, egyébként homogén dielektrikumban (közelítés).
Így a teljes térben 1 + Px faktorral növelhető meg.
e0·Ex
Px = NaEx ( 1+ Px . )) = NaEx .
e0·Ex 1-(Na /3e0)
így: : e r -1= N/e0 .
(1/a - N/3e0)
Ez kifejezhető az alábbi formulával is (Clausius és Mossotti):
e r –1 = Na
e r +2 3e0
a
változása a frekvenciával:
Atomirezonancia – atomok mozgása
Elektron – valencia elektronok kapcsolatos a tiltott sáv szélességével.
Töltés mozgása – harmonikus oszcillátorként.
m tömegű, q töltésű rész mozgását leiró egyenle
t egy z=konstans helyen:x" + g kx’ + w ok˛x = q E1exp(-jw t)
m
w
ok : a rezonancia frekvenciaMegoldás:
x = (qE1/m)exp(-jw t)
w
ok˛-w ˛-jg kwa
értékea = px = xq = q˛/m .
Ex Ex w ok˛-w ˛-jg kw px elektromos dipólus momentum
Ezt beírva er kifejezésébe (komplex!)
er*(w )= 1+ Nq˛/m .
w
ok˛-w ˛ - jg kw - Nq˛/3e0Ha több rezonancia van:
e
r*(f) = 1+ K S qk .k
f1k˛- f˛- jg kf/2pahol
f1k = 1 ( w ok˛- Nq˛/3e0) , K = (Nq˛)/(4p ˛me0)
4p ˛ qk a súlyozó faktor
n is komplex lesz:
n*= n + jn’
és
(n*)2 = [n˛- (n’)˛] + 2jnn’= er*
Csak kis veszteségü anyagok érdekelnek.
n’<<n így n2 = Re{er*}
és 2nn’= Im{er*}
Idealizát dielektrikum n-je

Rezonanciától távol er* képzetes része elhanyagolható és
n2-1= S Kqk .= S Gkl ˛
k
f1k˛- f˛ k l ˛-l 1k˛ahol l ik = c/ f1k és Gk = Kgkl 1k˛
c˛ Ez a Sellmeier diszperziós formula.
Jó egyezés kapható a mért adatok és a modell között három tagot véve figyelelmbe a diszperziós kifejezésben. Kettő az elektron
rezonanciának felel meg az ultraibolya sávban, egy pedig az atomi rezonanciának infravörössávban.A Sellmeier egyenlet sorbafejtéssel közelíthető: ahol
l >> l1k, k = k’ jelöléssel és feltesszük, hogy l >> l1k’.Gl ˛ = G @ G ( 1+ l ˛1k’ + l 41k’ +…. )
l ˛-l ˛1k’ 1-l ˛1k’/l ˛ l ˛ l 4
Ahol viszont l < l1k, k = k’’ és l<l1k’’
Gl ˛ = G ·l ˛/l ˛1k" @ -G ( l ˛ )·( 1+ l 2 +…. )
l ˛-l ˛1k" 1-l ˛/l ˛1k" l ˛1k" l ˛1k"
így
n2-1 re adódik.n2-1= S Gkl ˛ = …A/l 4 + B/l ˛ + C+ Dl ˛ + El 4
k l ˛-l 1k˛
ahol:
A = S G k’l 41k’
k’ B = S G k’l 21k’
k’
C = S G k’
k’
D = S -G k"l 21k"
k"
E = S -G k"l 41k"
k"
Az ábrákon látható , hogy az optikai tartományban, távol a rezonanciáktól n lassan nő a frekvenciával és csökken a hullámhosszal. Azaz dn/dl kicsi és negatív. A diszperzió (n frekvencia függő) és a csillapítás (n’ jelentős) közös szoros összefüggés van. Invariáns, kauzális, lineáris rendszerben, ahol véges gerjesztésre véges válasz adódik, a válasz függvény képzetes része meghatározható az ismert valós részekből és fordítva. Ezt kifejező egyenletek a Kremer- Kronig relációk.
Kísérleti értékek:
Alapanyag: tiszta kvarc SiO2
0,2-0,4 m m hullámtartományban mérte meg Malitzon 1965-ben és a Sellmeier diszperziós formulákhoz igazította két ultraibolya és egy infravörös frekvencián..
n2-1= 0,6961603 l 2 + 0,4079426l 2 + 0,8974794l 2
l 2-0,0684043˛ l 2-0,11624142 l 2-9.8961612
l mikronban!

Törésmutató változtatására idegen anyagot kell a kavarcba bevinni, ezáltal újabb rezonanciák lépnek fel (extra diszperziót okozhat).
Ez csökkenthető B
2O3 vagy F adalékolásával, emelhető TiO2, Cs2O, Al2O3, ZnO2, GeO2 és P2O5 adalékolásával.
Legjobb eredmény: a mag GeO2-val adalékolt kvarc, a köpeny F-el adalékolt.
Pl. TiO2 redukálódik a szálhúzáskor. T3+ ionok abszorbeálják a fényt. P2O5-nek nagy a mozgékonysága.
P2O5 + GeO2 csökkenti a lecsapatás hőmérsékletét és jobb profil érhető el vele.
A max. különbség n-ben kb. 4% (tipikusan 1-2%). n függ a hő és mechanikai előélettől is.

A: tiszta SiO2
B: 13,5% GeO2 , 86,5% TiO2,
C: 9,1% P2O5 , 90,9% SiO2
D:
13,3% B2O3, 86,7% SiO2E: 1% F , 99% SiO2
F:16,9% Na2O , 32,5% B2O3 , 50,6% SiO2
Mert Sellmeier együtthatók:

Idődi
szperzió a tömb anyagban:
A vivőre ültetett jel nem a fázissebességgel v
p=w/b, hanem a csoportsebességgel vg=dw/db terjed.Nem diszperzív közegben: vp¹ f(w) , így b = w /vp db/dw=1/ vp=1/ vg
Diszperzív közegben: vp=f(w), így
db/dw = vp -w(dvp/dw) ; vg = dw/db
dvp2
Pl. vg –vel terjed egy fényimpulzus.
Csoportindex:
N = c/vg = c. db = c. d . w = c. d . wn = d (wn) = n + w. dn
dw dw vp dw c dw dw
ahol n fázisindex.
dn/dw = dn . dl w = 2pc ® dw = - 2pc
dl dw l dl l2
N =
n + 2pc . dn (-l2/2pc) = n - l..dnl dl dl
és vg = c = c .
N n-l (dn/dl )
Egy fényimpulzus l utat t idő al
att tesz meg:t = l = Nl = l [n - l. dn ]
vg c c dl
Spektrális vonalvastagság, ahol a spektrális teljesítmény meghaladja a maximum 50%-át. FWHM (Full-Width-at-Half-Maximum)
r.m.s. (root mean square) impulzus szélesség, spektrális vonalszélesség:
T P R
¥
Az impulzus teljes energiája: E = ò f (t)dt
-¥
A csillapítás: 10lg. ET
ER
A megérkező impulzus válasza a szálnak: h(t) = f R(t)
ER
D T nehezen mérhető
s definíciója: átlagos futás/megérkezési idő:
¥
t = 1 . ò t f (t)dt (mean arrival time)
E
-¥ezen értékek közötti kitérés a s !
¥ ¥ ¥ ¥
s 2 = 1 . ò (t-t) 2 f (t)dt = 1 . ò t 2 f (t)dt - 1 . ò 2·t·t f (t)dt + 1 . ò t 2 f (t)dt =
E
-¥ E -¥ E -¥ E -¥¯ ¯
-
2t2 t2-et kiemelve ez E-vel egyenlő,és 1 . t2. E = t2 E
így:
¥
s 2 = 1 . ò t2 f (t)dt - t2
E
-¥
Elméleti impulzusalakokra:

a., t = D T s = D T/(2Ö 3) = 0,289D T = 0,289t
b., t = 0,5D T s = D T/(2Ö 6) = 0,204D T = 0,408t
c., t = ln2t e =0,693t e s = 1,44t
Ha több nem korrelált effektus okozza az impulzus kiszélesedését, akkor a teljes szélesség az egyes s -k összegzésével adható meg. Ha az optikai rendszer lineáris, használható a Fourier-transzformáció:
¥
H(f) = ò h(t)exp(-j2p ft)dt
-¥
A rendszer elektromos sávszélessége (Df). A vevőben keltett elektromos része számítható. Ha az optikai energia a felére csökken: a detektált jel –6dB (a jeláram arányos az optikai jelteljesítménnyel!) Ezért definiálható az optikai sávszélesség (Dfopt), ahol H(f) = ˝
dB (elektromos) dB (optikai)
-3 -1,5
-6 -3
A bitrate B £ 0,25/s lehet, különben gyorsan nő a detektálási hiba.
D fopt » Ö 2 D fel » B = 1 » 1 t » 1
4s 2 D T
Ezeknek megfelelően s l
és s w definíciói:¥ ¥ ¥
ò (l -l )˛ f l (l )dl ò l ˛ f l (l )dl ò l f l (l )dl
s l = 0 = 0 - l ˛ ahol l = 0 ;
. ¥
¥ ¥ò f l (l )dl ò f l (l )dl ò f l (l )dl
0 0 0
s w definíciója hasonló, de s l használatos általában. Ha az impulzus l utat megtesz egy diszperzív közegben, az r.m.s. szélesség lesz s 2.
A korábbi képlet alapján:
s 2 = dt . s l = l . d ( n - l dn ) s l = l . ( dn - dn - l d˛n ) s l = l . ( - l d˛n ) s l =
dl c dl dl c dl dl dl ˛ c dl ˛
= l . ( - l˛ d˛n ) g s
c dl ˛ ahol g s = s l /l
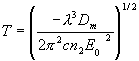
Anyagdiszperziós együttható:
Dm = -l d˛n
c dl ˛
Vagy dimenzió nélküli együttható:
Ym = -l ˛. d˛n
dl ˛
Így s 2 = s l | Dm| = g s .| Ym|
c
A közelítő jelsávszélesség:
D fopt l = 1 = c .
4s l | Dm| g s .| Ym|

A fenti és alábbi görbék az anyag törésmutatójából lettek meghatározva.
Pl. 0,85m m-nél (GaAs fényforrás) a germánium adalékolás növeli a törésmutatót, de a diszperziót is. Bór-oxid adalékolás mindkettőt csökkenti. P2O5 adalékolás növeli a törésmutatót, de kis hatással van a diszperzióra. A két átbocsátási transzmissziós ablakra az adatok (tiszta kvarc esetén):

A második ablakban d˛n előjelet vált; a diszperzió sokkal kisebb. Összehasonlítva a többutas
dl ˛
terjedési diszperzióval, ahol: DT/l » 4s /l = 68 ns/km volt az ugrásszerű indexes és 1ns/km a változó törésmutatójú szálban.
A minimális diszperziójú hullámhossz:
A tiszta kvarc esetén d˛n előjelet vált l = l 0 = 1,276 m m-nél, azaz n(l ) fv. inflexiós pontja
dl ˛
® a csoportsebesség itt maximális. Ge adalékolás növeli l 0-t (1, 37m m) 13,5% adalékolásnál. F és P2O5 kissé hat rá, B2O3 kissé csökkenti
l 0 a maximális diszperziójú hullámhossz. De egy impulzus több hullámhosszt tartalmaz, ezek más-más csoportsebességgel terjednek, akkor is ha a legrövidebb és leghosszabb hullámok azonos sebességgel terjednek.

l m a fényforás közepes hullámhossza, D l a szórása
N = ct = n - l dn a normált terjedési idő
l dl
N = N0 l = l 0-nál l -l 0 = x, ekkor Taylor-sorba fejtve:
N(l ) = N0 + x . dN + x˛ . d˛N + ….
dl 2! dl ˛ l 0 esetre!
dN = -l 0 . d˛N = 0 (szélsőérték!)
dl dl ˛
végül: N(l )-N0 = -l 0 . dłn . x˛ +…..
dl ł 2!
N0 a minimális (normált) terjedési idő. A terjedési idő szórása pedig: t = [N(l )-N0] . l .
c
a l m ± 0.5D l értékeknél adódik!
Tehát:
x = l m ± 0.5D l -l 0
x˛-nél nagyobb tagok akkor válnak fontossá, ha D l 100nm közelében lesz. A magasabb fokú tagokat elhanyagolva a minimális anyagi diszperzió l m = l 0 esetben lesz, ekkor x = D l /2 és
t = N(l )-N0 = -l 0 . dłn . (D l )˛ = - g ˛l 0ł . dłn ahol g = D l
l c dl ł 8c 8c dl ł (l 0 esetben) l 0
Tiszta kvarc esetén l m = l 0 = 1,276m m-nél l 0ł . dłn = 0,048
dl ł
és adódik: t = 2·10-ąą g ˛ s/m t közelítőleg az FWHM pulzusszélességet adja.
l
Tekintsünk egy LED forrást. Az FWHM hullámhossz szórás 100 nm. l 0 = 1,276m m (g = 0,078). Ekkor t = 1,22·10-ął s/m = 120 ps/km
l
és b l » l/2t = 4(Gb/s)km. Ez egy nagyságrenddel jobb a 0,85 m m-es LED-nél kapott értéknél. Egy tipikus 1,3 m m-es, sokmódusú lézer forrásnál D l » 5nm, így az anyagi diszperzió további hárpm nagyságrenddel csökkene, 0,3 ps/km-re (1700 GHz-km).
A csillapítás is alacsonyabb nagyobb hullámhosszon. Ezért kifejlesztettek fényforrásokat és detektorokat erre a hullámhosszra. Ez a standard hullámhossza a telefon törzsvonalaknak (egymódusú szál, lézer) és az optikai adatátviteli hálózatoknak (sokmódusú szál)
Teljes diszperzió sokmódusú és egymódusú szálakban:
Hacsak a leggyorsabb és leglassúbb hullámok közti időkülönbség lenne, a két hatást összeadhatnánk egyszerűen.
-Legelőször megérkezik: legnagyobb csoportsebességgel a legrövidebb úton.
-Legkésőb
b megérkezik: legkisebb csoportsebesség, a leghosszabb úton.Ez két pesszimista szemlélet.
Megérkezett impulzus alakját a komponensek közötti teljesítmény eloszlás adja. Azt várjuk , hogy a befutó impulzus az átlagos idő körül hasonló formát vesz fel, mint a spektrális eloszlás az átlaghullámhossz körül. Megbecsüljük az r.m.s. impulzusszélességeket, melyeket mindegyikét diszperziós folyamat okozta, összeadjuk az átlagos négyzetes értékeket és gyököt vonunk belőle. sokutas®
s 1, anyagi ® s 2
Anyag: mag 13,5% GeO2 ,86,5% SiO2
köpeny tiszta SiO2
NA (Numerikus Apertura) 0,247...0,248
Ha a köpeny adalékolt 1% F-fel, akkor az NA= 0,275 1300nm-nél.
A fokozatos törésmutatójúnál az átlagos adalékkoncentráció a csúcs 75%-a. Az ábrákon látható, hogy 1300 nm-en lézer forrásnál mindig elhanyagolható az anyagi diszperzió. Néha LED-nél is elhanyagolható.
1500nm-en fokozatos törésmutatónál lézer esetén elhanyagolható az anyagi diszperzió.
A valóság a táblázatnál valamivel jobb néhány effektus miatt. Móduskeverés és differenciálmódusú veszteség miatt kisebb a többutás diszperzió s1~ la ahol "a" az összekapcsolási index. Értéke 0,5 és 1 közé esik.
A táblázat adatai tipikus értékek nagy kimenő teljesítmény és nagysebességű moduláció esetén. Vannak kisebb vonalszélességü források is.
Ugrásszerű átmenetek Si szálnál
bl = 20[Mb/s] Több nem lehet és a sokutas terjedés korlátoz.GI szálnál LED esetén a két anyagdiszperzió, lézernél a sokutas terjedés korlátozza a sebességet. Ez utóbbinál érhető el a legnagyobb sebesség.

Kombinált diszperzió egymódusú szálban:
Előző táblázatból látható, hogy a sokutas diszperzió erősen csökkenti az információs kapacitást, még GI szálak esetén is sokmodusú szálaknál.
Ez teljesen kiküszöbölhető, ha a mag átmérőt kb. 10m m-re lecsökkentjük. Fellép azonban a hullámvezető diszperzió – a mag-köpeny határán a hullámok illesztése a határfeltételekhez frekvencia függő. Így a fázissebesség is frekvencia függő. Az optika energia jelentős része halad a köpenyben, ennek részaránya frekvencia függő, így változik a hullám által tapasztalt átlagos törésm
utató (a behatolás a köpenybe frekvencia függő). Az anyagi- és hullámvezető diszperzió összege bonyolult (de ha egyszerüen összeadjuk: kromatikus diszperzió) Standard egymódusú szál 8m m átmérőjű maggal és 0,005 törésmutató különbséggel: a minimális kromatikus diszperzió hullámhossza l 0= 1310..1320nm (az anyag Ge adalékolt)Standard egymódusú szál gyakori jellemzője:
G 652 CCITT ajánlás száma
A teljes r.m.s. diszperzió < 6ps/(nm·km) az 1270-1340 nm-es sávban , és <3,5ps/(nm·km) az 1285-1330nm-es sávban.
Ha speciális multimódusú lézert alkalmazunk kisebb hullámhossz szórással, mint 2,5nm, a diszperzió <9ps/km, bl>28(Gb/s).
Még nagyobb lenne a kapacitás , ha a lézer frekvenciáját pontosan l0-ra hangolnánk.
Az s0 = dDm l0 környékén fontos a diszperzió – forrás Dl vonatkozásban.
dl
Értéke standard egymódusú szálakban tipikusan 85fs/(km·nm2). l0 környékén tipikusan nem a diszperzió, hanem a csillapítás korlátoz.
SMF ( Single Mode Fiber):
Dm = -l d˛n
c dl ˛ anyagdiszperziós együttható
GW: waveguide dispersion coefficient
Csökkentve a mag átmérőt és növelve az adalék koncentrációt G
W növekszik.
DSF (Dispersion Shifted Fiber):
l
0 1550 nm-re nő a nagyobb WD –vel, és akkor a csillapítási minimum és diszperziós minimum ugyanott lesz. Csillapítás ~ 0,4 dB/km 1550nm-nél – komplex törésmutató profillal és javított gyártástechnológiával el lehet érni a 0,22 dB/km-t is ugyanezen a hullámhosszon.Speciális profillal elérhető, hogy a waveguide diszperzió hosszabb távon kompenzálja
az anyag diszperziót.
A második ábrán a teljes kromatikus diszperzió kisebb, mint 5ps/(nm·km) 1300 és 1630 nm között.
Ez az úgynevezett diszperzió simított szál (Dispersion Flattened Fiber: DFE)

Csillapítás mechanizmusok:
1966: 20dB/km
1982: 0,15 dB/km
A mechanizmus kiderítése és gyártástechnológia biztosította ezt.
Csillapítás két kategóriája:
Mindkét formában az optikai energia:
W(z) = W(0)exp(-az)
a
csillapítási együttható (1/cm vagy dB/km)1dB/km=2,3·10-4 m-1
Alapanyag kvarc, adalékolva F-fel vagy oxidokkal (bór, germánium, titán, foszfor). Régebben próbálkoztak folyékony magú szállal (tetraklóretilén).
Na-szilikát, Ca-szilikát üvegek, alacsony olvadáspontú egykristályok, de mechanikailag nem jók.
Polimereket is használnak. A csillapításba a köpeny is hozzájárul (oda is behatol a fény). Ezért baj, ha a köpeny gyenge minőségű, vagy erősen abszorbeál – gondot okoz.
A mag jó minőségű legyen, a köpenybe bejutott fény lehetőleg abszorbeáljon. Köpenyt körülvéve polimer köpennyel (nagy törésmutató ) elvezethetők a szórt fénysugarak.

Abszorpció:
Elektron és atom abszorpció a rezonancia közelében – UV tartományban lesznek a tiltott sáv szélessége és az elektronikus struktúra következtében.
Infravörös tartományban: maguk az atomok rezonanciája.
Számunkra érdekes tartományban megjelenik az abszorpció:
a
uv =Auv exp(e/euv)= Auv exp(luv/l)Auv, euv, luv konst.
Urbach törvénye IR tartományban:
air = Air exp(-e/eir) = Air exp(-lir/l)
Az IR sávban erre szuperponálódnak az alapfrekvencia harmonikusai által okozott abszorpciós csúcsok.

Az infravörös sávszélesség 1,5m m-nél hosszabb hullámoknál lesz jelentős.
Rezonancia frekvenciák :
SiO 9,0m m
GeO 11,0m m
PO 8,0m m
BO 7,3m m
Eszerint GeO a legjobb.

SiO-ra a Sellmeier egyenletekben 9,9m m szerepelt – ott empirikus illesztés volt távol a rezonanciától és csak három tagot vettek figyelembe.
A SiO rezonancián az abszorpciós együttható 10dB/m m.
Szennyezések plusz abszorpciót okozhatnak.
Hidroxil-ionok, átmeneti fémek (mangán, vas, kobalt nikkel) ® szélessávú abszorpció.
Ezért a relatív koncentrációnak 10-9 alatt kell lenni, ha 1dB/km alatti abszorpció szükséges.
O-H gyökök nyúlási rezgése (streching vibration of O-H) f0® 2,73m m-nél - harmónikus és kombinációs frekvenciák a SiO-nál (12,5m m).

A 0,8-0,9um között dolgozó szálaknál 10-6-10-7 relatív víztartalom megengedett.
Az 1,2; 1,3 vagy 1,55m m esetén 10-8 lehet. Ezt igen nehéz elérni.
A hidrogén molekulák bediffundálnak a kvarcba D~2*10-15 m2/s – gyenge kémiai kötésbe lépnek a kvarccal. Abszorpciót okoznak 2,42m m-en.
Harmónikusok1-2m m között abszorbeálnak 1,88; 1,24 és 1,08m m csúcsokkal. Ez a veszteség a hidrogén eltávolításával megszüntethető. Kémiai reakció viszont OH komplexekkel nagy, ez maradandó változást okoz.
Hidrogén-polimerekből, elektrolízisből, korrózióból. 1983-ban beépített szálak fokozatos romlást mutattak – jó tervezés kell!

Szóródás:
Az üvegben hullámhossznál kisebb inhomogenitások vannak. Ezért változik a törésmutató:
A fény szóródik - kifelé a szálból: Rayleigh szóródás. Szálhúzáskor gondosan kell az olvadékot hűteni. Lehetőleg kevés összetevőjü üveget használjunk.
Csillapítás arányos a hullámhossz negyedik hatványával. Rayleigh szóródás tipikus értéke nagy sziliciumtartalom esetén 1dB/km 1m m-nél. Ge kissé növeli, P2O5 csökkenti.Egymódusú szálak tiszta kvarc maggal 1m m-nél 0,7dB/km értéket érhetnek el.
Sokmódusú Na üvegnél 2dB/km a tipikus.
aR = Ab
l4
Hibák, meghajlás ® szóródást okoznak. Látható fénynél ez szemmel is látható.
Szórás ~ exp(-R/Rc) R a hajlítás sugara, Rc = a/(NA)˛ = a/2nD n, ahol ’a’ a fényvezető mag sugara. Egymódusú szálaknál attól is függ, hogy mennyire hatol be a fény a köpenybe, valamint l és l c0 levágási frekvencia arányától.


Sokmódusú szálban a mechanikai feszültség korlátozza a hajlítási sugarat. Ha a feszültség 0,2%-nál nagyobb ® repedések keletkeznek.
Ha a = 25m m, 2b =125m m, n = 1,46 ; Dn = 0,02 ; NA = 0,24; belül nyomó, kivül húzó feszültségnél R nagyobb kell legyen b/0,002 = 500b =31mm
Rc = a/2nDn =0,43mm, tehát a mechanika korlátoz.

Egyéb kisveszteségű anyagok:
Si alapú anyagok erősek, könnyen húzhatók, kémiailag ellenállók, nem mérgezők.
Legyen kisebb az IR abszorpciós szál
Rezonancia (atomok) legyen alacsonyabb frekvencián. Nagyobb atomsúly, kisebb rugóerő.
Más anyagok GeO2, BeF2, ZnCl2, ZrF4, KCl, AgBr stb. Kémiai aktivitás, mérgező, mechanikai gyengeség. stb. a molekulák.
Elméleti csillapítás:

Szennyezőanyagok csillapítása 1ppb (10
-9) arány mellett látható. Alacsony OH, átmeneti fém és ritkaföldfém szennyezés szükséges. Polikristályos anyagot készítettek TiBrI és AgBr/AgCl-ből – kristályhatárokon nagy szóródás. Csillapítás > 100dB/km 10,6m m-nél.Egykristály AgBr és CsI szennyezésszóródás és hullámszóródás miattt >1000dB/km.
Cirkónium-bárium-lanthanum-Aluminium fluorid (ZBLA) NaF adalékkal (ZBLAN) , valamint cirkónium-bárium-gadolinium-aluminium (ZBGA) fontosak lettek. Utóbbiban a törésmutató változtatható az AlF3 tartalommal.
Előbbinél NaF koncentráci
ó változtatható vagy hafniummal adalékolható a változtatáshoz. De ezen anyagoknál nem alkalmazható vákuum leválasztási technológia (amit kvarcnál használnak). A csillapítás kb. 1dB/km.Berilium-fluoridnál használható a CVD, de erősen mérgező.
Tisztán műanyag , valamint műanyag-köpenyű szálak:
Néhány Mb/s és rövid távolságra használhatók (néhány 100 m) pl. épületekhez. Polymetilmetaakril PMMA valamint polisztirol használatos. PMMA jobb mechanikai tulajdonságú, kémiailag ellenálló; polisztirol könnyebben gyártható. PMMA alkalmas köpenynek polisztirol maghoz.
Köpeny lehet még fluorkarbionpolimer vagy szilikon gyanta. Újabban polikarbonátot javasolnak jobb termikus tulajdonságokkal. /Polycarbonate (PC)/ . Mag mérete 0,5-1mm –szük kanyarokban is vezethetők. V
ághatók zsilettpengével, precíz csatlakozó nem szükséges. De nagy veszteség ® hőmérsékletfüggés: max hőmérséklet 80-100°C. Sokszor a hőmérsékleti együttható a mag és köpeny esetében erősen különbözik. NA is hőmérséklet függő.C-H kötések rezgése: hő abszor
pció. PMMA-nál harmónikus rezonancia van 740 nm-nél, 624 nm-nél és 546 nm-nél. PS-ben: 758 nm-nél és 714 nm-nél, 646 nm-nél és 608 nm-nél, valamint 562 nm-nél és 632 nm-nél. Policarbonát anyagok nagy rezonanciával rendelkeznek 705 nm-nél és 740nm-nél.
Porszemcsék – nagy Rayleigh szórása. Ez lecsökkenthető 150-200dB/km–re, 500nm-nél PS, és kb. 30dB/km PMMA.
A minimális csillapítás általában 0.5-0.8m m-nél van; 700dB/km 760nm, PC-mag, 114dB/km 670nm-nél PS magnál; 55 dB/km 570nm-es PMMA-nál. 500nm alatt elektron-abszorpció válik jelentőssé.
Hidrogént deutériummal helyettesítve a hosszúhullámú abszorpció hosszabb hullámok felé tolódik el és csökkenti a minimális abszorpciót. Pl. PMMA esetén 20dB/km érhető el 650-680nm-en.

A ferde sugarakat erősebben csillapítják a szálak – az elméletinél két-háromszor nagyobb sávszélesség érhető el. Elméleti :kb. 3-5 (Mb/s) km
Minimális csillapítás: kb. 700 dB/km
Ionizáló sugárzás okozta kár:
Ipari, űr és katonai alkalmazásokban jelentős rádióaktív sugárzás léphet fel.
Feltépik a kémiai kötéseket az üvegben, új energiaszintek jönnek létre. Abszorpció van a látható és közel IR sávban.Az a és b részecskéket abszorbeálja a védőköpeny.A g sugárzás viszont áthatol azon. Kis szinten a csillapítás arányos a sugárzási dózissal. Szál típustól függően 10-1000 [dB/km/Gy]
1Gy: Gray=1 Joule sugárzás, 1kg anyag által abszorbeálva .Emberi szervezetre ekvivalens egység: Sievert (Sv) .g sugárzásra: 1Sv = 1Gy
A csillapítás kevésbé növekszik hosszabb hullámhosszakon. A többösszetevőjü üv
egek érzékenyebbek.Pl.: magok GeO2 vagy B2O3 –al érzékenyebbek, mint a tiszta kvarc. Utóbbiaknál oxigén atomok kimozdulnak a helyükről és hibahely jön létre. Hidroxil gyökök csökkentik az érzékenységet.
Kvarcnál a csillapítás telítődik néhány 100 – néhány 1000 dB/km értéken. A hibák idővel meggyógyulnak, különösen hő- vagy fehér fény hatására. Tiszta kvarc jobban gyógyul. Germánium adalékolt szálban igen nagy tranziens csillapítás lép fel. Rövid távolságokat használnak, nagy biztonsági tartalékkal.
5 Gy sugárzási dózis 50%-os halált okoz 30 napon belül.
Rugalmatlan szóródás és nemlineáris terjedési effektusok:
Stimulált Brillouin és stimulált Raman szórás
Eddigi szóródások rugalmasak és lineárisak voltak, azaz a foton energiája szóródáskor nem változott , és a szétszórt energia arányos a beeső energiával. Nagy szinteken nemlineáris lesz a szóródás. Rugalmatlan szóródásnal a foton kölcsönhatásba lép az atomi rezgéssel. Fellép a két rezgés frekvenciájának összege és különbsége. A rezgés is kvantált. A mechanikai rezgés lehet longitudinális vagy transzverzális. Továbbá akusztikus hullám és akusztikus fonon, kisebb frekvenciák, longitudinális, klasszikus hanghullámok. Szomszédos atomok azonos irányba mozdulnak el. Optikai hullámnál/fononok a szomszédos atomok ellentétes irányba mozdulnak el (hossz vagy kereszt)
Stokes és anti-Stokes szóródás.
Szórt Raman spektrum kvarcnál:

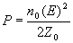
Szélesebb, mint kristályos anyagban, amorfban kevesebb szimmetriafeltételt kell betartani (a foton-fonon kölcsönhatásnál).Brillouin szóródásnál a szórt fény frekvenciája függ a szóródás szögétől. Legnagyobb a változás a visszafelé szóródásnál. A maximális Df = 10 GHz, 30 MHz sávszélességgel. Brillouin és Raman szóródás stimulálható, ha a Stokes-eltolt frekvenciájú sugárzás jelen van. Ez fokozott szóródást okoz nagy teljesítmény szinteken. Stimulált Brillouin szóródás (SBS) és stimulált Raman szóródás (SRS). Ha a fény frekvenciája az eltolt frekvencia, ennek energiája nő a beeső fény terhére. A szálban az SRS optikai erősíéshez vezet mindkét irányba, SBS erősítés csak visszafelé jön létre. A nagyfrekvenciájú fényt pumpnak hívják. (pumpa!) A jelfrekvencia a pumpánál kisebb.

A rövidebb hullámhosszú fény fokozatosan abszorbeálódik az anti-Stokes sugárzás következtében. SRS esetén a maximális erősítés a pump frekvenciánál 13000 GHz-cel kisebb frekvencián történik. (a. ábra), kb. 6000 GHz szélességben. 1500 nm esetén erősítés 50 nm szélességben érhető el, a maximum Dl = 100 nm-nél van. Az erősítés arányos a pump jel teljesítményével.
Általában: erősítés számítása a pump spektrum és a stimulált szóródási spektrum korrelációjával számítható. Feltételezve egy egyfrekvenciás pump-ot, egyszerűbb lesz: egymódusú szál, haladóhullámú, kiszajú Raman erősítésre számoljuk a szükséges pump teljesítményt. F(z) az optikai teljesítmény a szálban és P(z) a teljesítmény sűrűség.
Index : p- pump; s-jel. Normál csillapítás ap as és a pump jel veszteség relatíve kicsi.
![]()
Ahol g a Raman erősítési együttható, kvarcban a g maximum 10-13
Integrálva.

Kezdetben a
pz<<1, és
, akkor van erősítés, ha g
Pp(0)>a
s, azaz
. a
s=a
p=5*10-5 m-1 (0.222dB/km) 1550 nm-nél. g
=10-13 m/W, ekkor Pth=5*108 W/m2.
Ha a mag területe 50(m m)2 a küszöb pumpateljesítmény 25 mW. Ha a pumpateljesítményt a szál egyik végén, injektáljuk be, az erősítés l hosszon (a pl>>1).
![]()
ahol leff=1/a p a szál effektív hossza, ahol a pump teljesítmény erősítést generál. 1550nm és kisveszteségű szálnál ez akár 20 km is lehet. Gain/dBopt=10lgGs=4.343[g Pp(0)leff-a sl], visszafelé szóródásnál Gain/dB=4.343[(g Pp(0)/a p){1-exp(-a pl)}- a sl].
A Raman erősítő 10-15dB/Watt
p erősítést adhat 50nm(6000GHz) sávszélességben. Probléma a nagy pumpateljesítmény. Az erősítés nő kis átmérőjű mag és erős Germánium adalékolás segítségével. Ekkor nagy a teljesítménysűrűség, és a Germániumnak nagy a Raman szóródási együtthatója.Az SBS erősítési együtthatója a néhány százszor nagyobb, mint az SRS-é, de igen kicsi a spekt
rális szélessége kb. 30 MHz. Az SBS küszöb egymódusú szálban 1mW alatti. A b típusú erősítő 10-20 dB erősítést produkálhat néhány mW pump teljesítmény esetén. Az SBS és SRS a spontán fényt erősíti. Ez korlátozza a szálba becsatolható teljesítményt.Benchmark: bemeneti teljesítmény és torzítás akkora, hogy a szórt fényt erősítve eléri a bejövő teljesítményt. Ehhez a küszöbteljesítmény kb. 20-szorosára van szükség SBS (néhány mW), és kb. 1W az SRS monofiber esetén. Az SBS tűnik a komolyabb korlátnak, de ez csak akkor van, ha a forrás igen keskenysávú. Normál modulálás ezt már meghaladja, és ekkor a küszöb több százszorosára emelkedik. Így inkább a Raman a határ. A Stimulált Brillouin és Raman szóródás komoly
Gondokat okoz olyan rendszerekben, ahol két vagy több optikai vivőfrekvenciát alkalmaznak egy szálban. Ha a hullámhossztartomány magába foglalja az SBS vagy SRS erősítés spektrumát, a rövidebb hullámhosszú jel a hosszabb hullámhosszú pump jele lehet, így ez utóbbi csillapítása nő, előbbié csökken. Azon rendszerekben, ahol közel vannak a vivők hullámhosszai / frekvenciái a Brillouin-hatás a fontosabb.
A kölcsönhatáshoz a pump és a jel polaritása azonos kell legyen – de terjedés közben a polaritás elfordulhat. Impulzusütemben a két jel impulzusát szinkronizálni kell. De a kromatikus diszperzió miatt az együttfutás elromolhat / csak bizonyos hosszig jó.
Adalékolt optikai szálerősítők
A mag anyagába olyan adalékot visznek be, mely lézerhatást kelt a szilárdtest, vagy üveg lézerekben. Ritka földfém oxidok, pl. neodímium, erbium – nagy pump teljesítmény, populáció inverzió lesz az adalékolás energiaszintjein. – erősítés a hosszabb hullámhosszon. El kell kerülni a szál végén a reflexiót (lézerhatás).
Erbium - adalékolt optikai szálerősítők kb. 40nm szélességben adnak erősítést 1530 nm körül.

Az erősítés függ az adalékkoncentrációtól és a szál hosszától, a pump teljesítménytől és spektrális eloszlásától. A pumpa lehet 1480 nm-nél vagy 980 nm-nél, ez utóbbi hatékonyabb. A pumpa-, és jelfrekvencia legyen azonos térbeli eloszlású, és mindkét hullámhosszon a szál legyen egymódusú. 20 dB erősítés elérhető
10-20m hosszú, 100 mW pumpateljesítményű100ppm erbium szállal.
EDFA – Erbium - doped fiber amplifier. Erősíthetnek hosszú szálakban Jelentőségük nő:
Egyéb intenzitás – függő
effektusokCsillapítás miatt n komplex, a diszperzió miatt n(w) lesz. E optikai tényező. Nagy teljesítménynél n nő (Kerr nemlinearitás). Kvarcban kisebb, mint máshol, de kis veszteségű szálakban hosszú távon van kölcsönhatás az anyag és a fény között – ekkor létrejöhet kölcsönhatás. ?
100km ~ 1011l
n=n0+n2(E)2, n2 Kerr – együttható
![]()
kvarcban.

A teljesítmény , ahol
Ha n
1W teljesítményű egymódusú szálban 50(
mm)2teljesítménysűrűség: 2*10
10W/m2 és E ~ 3*106V/m, n változik ~ 4*10-10 – el.Nagy tér – az atom rezgése más, nem szinuszos. A Kerr nemlinearitás (bár kicsi) okozhatja a fázismodulációt (SPM) az impulzusnál. Egybeeső impulzusok modulálhatják egymást akkor is, ha más frekvenciájúak vagy különböző módon polarizáltak.
Az n növekedése a teljesítményszinttel intenzitásfüggő fázistolást okoz – ez frekvenciaváltozást. Az impulzus felfutó élén kisebb frekvenciájú (vörös eltolódás), lefutó élén nagyobb frekvenciájú (kék eltolódás). Ezt hívják „chirp"–nek (csiripelés). A kromatikus diszperzió következtében SM szálaknál ha a hullámhossz rövidebb l0-nál (diszperzió) az impulzus szélesedését okozza, mivel a nagyobb frekvenciák lassabban terjednek. Ha a hullámhossz nagyobb l0-nál, akkor tömörödik a jel – ez fontos szoliton terjedés.
A szoliton egy egyedüli hullám, mely látszólag igen nagy távolságokon keresztül változatlan formában terjed. Néhány típusú nemlineáris differenciálegyenlet megoldása ad szolitont. Szolitont először 1834-ben Russel látott vízben terjedni. Optikai szoliton: az optikai vivő amplitudó modulációja. A negatív diszperzió és a nemlineáris polarizáció egymást kiegyensúlyozzák. A hullám alakja
sech!!!!
![]()

Ahol

Az impulzus teljes energiája 2F0T, az FWHM 1,76T. Az impulzus keskenyebb, ha a teljes energia és a csúcsteljesítmény nagyobb. F0=100mW, l=1550nm, Aeff=50mm2
(SM szál) A csúcsteljesítmény P0=2*109W/m2, így E0=106V/m. Ha Dm=15ps/(km*nm) és n2=0,6*10-22 (m/V)2 akkor T=12,5ps és az impulzus energiája 2,5pJ.
A szoliton akkor alakulhat ki, ha a nemlineáris törésmutató hatása felülmúlja a csillapítást a hullámegyenletben:
n
2|E0|2>al/2pHa a=0,22dB/km=5*10-5 1/m és n2 mint fent, E0>4,5*105V/m jön ki, azaz P0=4*108W/m2 és Pmin=20mW. Ezen teljesítmény felett az elegendően rövid impulzusok szolitonként terjednek. A fölösleges teljesítmény leválasztódik, hacsak nem elég a magasabb rendű szoliton létrehozására. n-ed rendű szolitonhoz n-szeres teljesítmény szükséges. Alakja bonyolultabb és az impulzus alakja, valamint spektrális eloszlása a távolsággal periodikusan változik. Ennek távolsága:
L=p2T2c/l2Dm.
Elsőrendű szolitonnál az impulzus alakja nem vá
ltozik, de a fázis igen, és L az a távolság, ahol ez p/4-et változik. Pl.: 12,5ps–os szolitonnál ez L=13km.A szoliton alakja stabil. Diszkontinuitások megzavarhatják, de nem szüntetik meg.
A távolsággal a csillapítás következtében csökken a teljesítmény és szétesik a szoliton. Ha alkalmazunk erbiumos vagy Raman erősítő szálakat, ezek erősítik és visszaformálják a szolitont. Ha ezen szakaszok távolsága kisebb L-nál, a szoliton fennmarad. Laboratóriumban 120 km-es hurkokon keresztül 10000km-nél hosszabb távon fenntartották a szolitonokat, Raman erősítéssel. Más kísérletben kiserősítésű erbium – adalékolt szálerősítők állították helyre a szolitont 25-30km–enként egy bitmintát 2,5Gb/s–os sebességgel továbbítottak 14000km–en, 20-60ps szoliton impulzusszélességgel. 10 Gb/s–os sebességet értek el 1000km távolságon.
Lézerdióda: többszörös kvantumgödrös, elosztott visszacsatolásos típus (MQWDFB), Fabry – Perot rezonátor ( a vonalszélességet lecsökkentette 45bs 0,08nm-en 1552 nm–en.
A két erbium erősítő a szoliton szint fölé emelte a teljesítményt (+50km-enként további erősítők)
Veszteség: 0,24dB/km diszperzió 2,1ps/(km*nm) Modulációs instabilitások kialakulása; Megérkezési időben jitter: Gordon – Haus hatás. Bit rátát korlátozza [104(Gb/s)km].
A végső sávszélessé
g-határ:Intenzitásmodulált jel.
Eddig a forrás spektrális szélessége nagyobb volt a modulációs szélességnél. Ha sikerül igen keskenysávú forrást gyártani, külön modulátorral – a sávszélesség az Fo impulzusFourier-transzformáltja határozza meg.
Forrás legyen F(t)=F0exp(-t2/2s02)
A szálban: E(t)=E0exp(-t2/4s02)exp(-j2pf0t)
Ennek Fourier-transzformáltja:
E’(f)=E0’exp{-4p2s02(f-f0)2} és F’(f)~E’2
F
’(f)=F0’exp{-8p2s02(f-f0)2}=F0’exp{-(f-f0)2/2sf2}ahol sf az optikai teljesítmény r.m.s-e:
s
f =1/(4ps0); sw =4psf = 1/2s0Bármely más impulzusalakra sfs0>1/4p (hat.seb. kvantummechanikában!)
sl
=(l/c)2sf łl2/(4pcs0)Minél keskenyebb az impulzus, annál szélesebb a spektruma, így annál gyorsabban degradálódik a kromatikus diszperzió által. Így van egy optimális impulzusszélesség adott szálhosszúsághoz. Egymódusú szálban l út megtétele után az impulzus kiszélesedik, így:
s
2 =s02 + s22 = s02 + Dm2 sl2 l2 = s02 + Dm2 l2 l4/(16p2c2s02)Így a vett jel r.m.s. szélessége:

ennek értéke minimális: s= smin = Ö2s0 - nál , így

ha l=100km, l=1550nm, Dm=15ps/(km*nm), smin = 43.7ps és max bit rate (=1/4smin) 5.7 Gbit/s. l0-hoz közelebb ez javul.
Az optikai szálak és a hagyományos kábelek összehasonlítása:

A koaxiális kábel csillapítása nő a frekvenciával, az üvegé még nem. Az optikai források sávszélessége jóval nagyobb a jel sávszélességénél (szinte zajforrások).
Nyitott és tekert - pár vezetékeken a veszteség arányos a jelfrekvencia négyzetgyökével. Ennek oka a skinhatás.
Koaxiális kábeleknél két veszteségforrás van:

d
a dielektromos veszteségi szög, s a vezető vezetőképessége, a a belső vezető külső, b a külső vezető belső átmérője.A második tag a döntő, a csillapítás fordítottan arányos a kábel átmérőjével.

A távközlési kábel kis csillapítását szoros gyártástechnológiával és jóminőségű anyagokkal érték el.
Az üvegszálakkal akár 0.2dB/km-es szálcsillapítás is elérhető. Egymódusú kvarc szálak 1.5-1.6mm sávban beszerelve ~0.25dB/km, 0.85mm-nél gyakorlatilag 2-2.5dB/km egymódusú és 2.5-3dB/km többmódusú szálban.
Többmódusú szálak esetén nátrium borszilikát vagy ólom üvegekből vagy kvarc maggal és polimer köpennyel 20-200dB/km szintet érnek el. Rövid távolságra használhatók, nagy a numerikus apertúrájuk. Nagyon rövid távolságokra és nem magas hőmérsékletek esetén a műanyag szálak olcsó alternatívák.
Az üvegszálak kis súlyúak és méretűek. Egy szál kb. 1mm átmérőjű, 12.5mm-es átmérőjű kábelben több, mint 100 szál található, és kevesebbet nyom egyetlen koaxiális kábelnél. A kis méret ott jó, ahol kevés hely áll rendelkezésre. Műanyag szálakkal néhány MHz érhető el, olcsó üvegszálakkal néhányszor tíz MHz. Többmódusú kvarc szálakkal, LED felhasználásával néhány száz MHz, egymódusú szálakkal és lézerrel néhány GHz. Kis sávszélesség és rövid távolságok esetén (egy rendszeren belül az
egységek összekötése) az optikai szálak előnye az ár, súly, méret, elektromos szigetelés és elektromágneses kompatibilitás. A csillapítás és diszperzió nem fontos. Közepes és nagy sávszélességek és nagy távolságok esetén a kiváló minőségű kvarc kábelek kis csillapítása nagy előny. Ezt csak az 50mm-es kör keresztmetszetű csőtápvonal múlta felül TE01 módusban (kísérlet volt) - de drága volt!Egymódusú szálak (SMF)
Három követelmény közül egyre tervezünk.
Mindhárom típus előállítható bizonyos törésmutató profillal.
Az egymódusú szálak három tulajdonsága befolyásolja leginkább egy rendszer működését:
Ez utóbbi meghatározza a kromatikus diszperzió változását a hullámhosszal, ez pedig kapcsolatos a teljesítmény-sűrűség eloszlásával a hullámhossz függvényében.
A teljesítmény-eloszlás befolyásolja az összeillesztési és csatlakoztatási veszteségeket, valamint a hajlítási és mikrohajlítási veszteségeket. Az előbbi kettő minimalizálásához a két csatlakoztatandó szál teljesítmény-sűrűség-eloszlását jól kell illeszteni legalább 8-9mm átmérőben. A hajlítási veszteségek csökkentése érdekében az eltűnő (evanescent) tér a köpenyben gyorsan csökkenjen a sugárral a köpeny – mag távolságtól, és már igen kicsi legyen még a köpenyen belül. A két követelmény nem teljesen kompatíbilis.
G652 specifikáció
|
Paraméter |
Jellemző |
Húzás |
|
Módus mezőátmérő (MFD) |
9-10mm |
±10% |
|
Köpeny átmérő |
125mm |
±2.4% |
|
Módusmező koncentrikusság hibája |
<1mm |
|
|
Köpeny nem-körössége |
<2% |
|
|
Szál határhullámhossza |
1100nm<lco<1280nm |
|
|
Hajlítási veszteség 1550nm-en és 1300nm-en általában |
<1dB <1dB/km |
|
|
Csillapítás 1550nm-en |
<0.5dB/km |
|
|
Zéró diszperzitású hullámhossz l0 |
1295nm<l0<1322nm |
|
|
Diszperziós meredekség l0-nál |
l 0 <95fs/(nm2*km) < l0(S0) |
Az SMF
Lehet illesztett köpenyű (MC), vagy elnyomott köpenyű (DC) profilú, a mag tiszta kvarc vagy GeO
2-vel adalékolt.Tipikus profilok:

a, MC, köpeny tiszta kvarc;
b, MC, mag tiszta kvarc;
c, elnyomott köpeny;
d, elnyomott köpeny tiszta kvarc maggal.
Köpeny külső átmérője 125
mm a2-nél anti-hullámvezető az átmenet. Ezért az elszökő tér legyen igen kicsi a2-nél, különben nagy hajlítási veszteség lép fel.Elnyomott köpenyű szálakat MCVD és PCVD módszerrel gyártják, míg az illesztett köpenyűeket OVD vagy VAD eljárással.
Az elérhető csillapítás szórása:

0.35dB/km 1300nm-en és 0.21dB/km 1550nm-en tipikus érték.
Tiszta kvarc magnál kisebb a csillapítás, az elért legkisebb érték 0.15dB/km volt. Az elnyomott köpenyes változatban a törésmutató nagyobb változása és a kisebb magátmérő miatt az alapmódus jelében a magban koncentrálódik, így kevésbé érzékeny a szál a hajlításra és a mikrohajlításra.
Diszperzió-eltolásos szál:
A hullámvezető-diszperzió biztosítására a magnak kisebb átmérőjűnek és
Dn-nek nagyobbnak kell lennie, mint SMF-nél.
A nagy ugrás n-ben a szálhúzás körülményei miatt megnöveli a csillapítást, így az 1.55mm-nél alig kisebb, mint 1.3mm-nél.
A hosszúságprofilú szál ezt a problémát kiküszöböli, és 0.22db/km érhető el 1.55
mm-en. lco határhullámhossz ~0.85mm, az alapmódust így 1.55mm-en csak gyengén vezeti, és érzékeny a szál a hajlításra.
Körülvéve a szálat egy gyűrűvel, növeli az alapmódu
s kiterjedését 1.3mm-en, és csökkenti az elszökő teret. Így csökken mikrohajlításos veszteség 1.55mm-en.S0 (diszperzió változási gradiens)
Értéke tipikusan 60fs/(km*nm2), míg SMF-nél 85fs/(km*nm2). Ekkor a forrás közepes frekvenciájának kisebb lehet a toleranciája.
Gauss profilú DSF. VAD eljárással készül, 0.22dB/km. l0=1.55mm-nél, érzékeny a mikrohajlításra.
Lapos diszperziójú szál:
Hullámvezető-diszperziót pontosan kézben kell tartani – még még bonyolultabb profillal

W profil, vagy dupla köpeny. A belső elnyomott köpeny befolyásolja a diszperziós tulajdonságokat l0 felett a teljes diszperzió görbéje kétszer metszi a 0 pontot, közben kicsi a diszperzió. 4 független paraméter, nagy tervezési szabadság. Problémák: a diszperziós karakterisztika erősen függ a törésmutató-profiltól, különösen a mag törésmutatótól és átmérőtől.
Hacsak D-/D+ és (a2-a1)/a1 nem nagyon kicsi, az alapvető HE11 módusnak nem zérus a határfrekvenciája. Azaz a hullámhossz növekedésével az alapmódus szivárogni kezd és erősen veszteséges lesz. Az átviteli sáv ezt megközelíti és a hajlítási veszteség gyorsan nő.
Ez kiküszöbölhető a következő profilokkal.
A külső gyűrű azelnyomott köpenybe kiszivárgó fényt összetartja. Harmadik nullátmenetet is produkálhat.
(QC) QC: quadruply clad
Szegmentált mag. Nyolc paraméter szabad ezeknél. Mérettartás kritikus.
Multiply clad fiber
Két vékony gyűrű. Kromatikus diszperzió kisebb lehet 2ps/(km*nm)-nél 1250-1650nm között.
Csillapítás tipikusan 0.35dB 1550nm és 0.55dB 1300nm-en. Az erős a
dalék?? ?? miatt magasabb a csillapítás PCVD-vel gyártható, mivel vele sok vékony réteg hozható létre.Gyakorlati szálprofilok:
Az ideális profilok nem valósíthatók meg.

Illesztett köpenyű, egymódusú szálak
A VAD eljárásnál a középső gödröt és a hullámzást kiküszöbölik, de lekerekítettebb a profil.
A legnagyobb optikai teljesítmény a tengely mentén van, ezért a középső csökkenésnek nagy jelentősége van.
A tényleges profilt egyenértékű ideális ugrásszerű törésmutatójú profillal jellemzik, mely hasonló tulajdonságokkal rendelkezik.
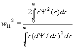
Módus foltméret (Mode spot size):
A teljesítménysűrűség-eloszlás a módus-foltmérettel vagy a módus mező átmérővel (MFD) jellemezhető. Definíció függ a legfontosabbnak ítélt tulajdonságtól.
A foltméret 2w1, ahol

P(r) a teljesítménysűrűség,
Y az elektromos vagy mágneses térerő.w1 a Petermann I. módus sugár. Ha P(r) Gauss eloszlású, akkor a teljesítmény w1-nél csökken értéke 1/e-ad részére.
Egy másik definíció a Petermann II. sugár:

Gauss eloszlásnál r=w11-nél a teljesítmény 1/e2-ed részére, a térerő 1/e-ad részére esik.
Ekkor w11=Ö2w1. w11 kapcsolatba hozható a szál végén kibocsátott sugárzás r.m.s. szög-szélességgel. Ez az un. távoltéri eloszlás (P(r) a közeltéri eloszlás)
V normalizált frekvencia.
Eloszlásuk v=2 esetén jó közelítéssel Gauss eloszlás.
Ha a törésmutató ugrása állandó, de a szálátmérő csökken, majd elkezd növekedni; ahogy az alapvető módus egyre jobban gyengén vezetett és a tér egyre jobban behatol a köpenybe. l=1300nm és D=0.003 esetén ez az alábbi ábrán látható:

A köpenyben a teret nem a Gauss, hanem a Hankel függvény írja le.
HE11 terjedési jellemzők:
Ha csökken a magátmérő, nő a hullámvezető diszperzió, és ez nagyobb hullámhosszak felé tolja el a zérus diszperziójú pontot.
Az effektív törésmutató kis l-nál kb. n1, mivel a tér a magban koncentrálódik. l növekedésével a tér egyre inkább bemegy a köpenybe, az neff közelít n2-höz.
Belső, kisebb törésmutatójú köpeny alkalmazása:
D
n növekedésével n1, n2, a1, a2 konstans.
l
növekedésével neff-et fokozottan befolyásolja a belső köpeny törésmutatója.Dtelj nagy Dn-nél kétszer is átmegy a zéruson, így szélesebb tartományban kicsi a diszperzió.

A különleges struktúra miatt az alapmódusnak is van határhullámhossza. A pontos számítások csak idealizált struktúrákra végezhetők el analitikusan. Számítógépes programok segítségé
vel a hullámterjedési állandók kiszámíthatók numerikus módszerekkel valóságos profilokra is.
A fényvezető szálak, kábelek gyártástechnológiája:
Gőzlecsapatásos és folyadékfázisú gyártási módszerek léteznek.
A kiinduló anyag tisztaságát szigorúan ellenőrizni kell, és gyártás közben is fent kell tartani. A szál gyártható folyamatosan, vagy egy előformát készítenek először, és ezt húzzák a szálra.Tégelyes módszer:
Alacsony olvadáspontú anyagokhoz használható. Az igen tiszta por alakú komponenseket nagy kvarc tégelyekben olvasztják össze. A tégelyt elektromos fűtésű kályhába helyezik. Rádiófrekvenciás fűtés is használható. Fém esetén a rádió frekvencia ezt hevíti fel. Kvarc esetén az olvadékba kell becsatolni az energiát, azt elő kell melegíteni, és nagyobb frekvenciát kell használni. Ekkor az olvadék magasabb hőmérsékletű, mint a kvarc, és onnan kevésbé szennyeződik. A magot és a köpenyt együtt húzzák.

Ezen a kettős tégelyen nagy keresztmetszetű szál állítható elő, nagy NA-val.Az olvadék 100-1200
oC, ismert gázban van mindkét tégely. HA nagy diffúziós állandójú adalékot, pl. Thalliumot használnak, az átmenet a mag-köpeny között nem lesz éles. Hasonló hatás érhető el Na-Ca boroszilikát üvegekkel is, a törésmutató komponenseket (SiO2, B2O3,Na2O, CaO) arányaival változtathatók. A mag-köpeny határán lejátszódó diffúzió miatt a profil fokozatos átmenetet mutat, ami csökkenti a többutas diszperziót 1…5 ns/km értékre. Az elérhető csillapításokat az alábbi ábra mutatja.
Gőzfázisú lecsapatásos módszerek (vapo
r depostion methods):Ha nagy az üveg kvarctartalma, túl magas az olvadási hőmérséklete, a tégelyes módszer nem használható.
A tengelyirányú gőzfázisú lecsapatással folyamatos szálhúzás lehetséges.
Három módszer használatos:
Mindhárom módszer kis csillapítású (0.2-0.22 db/Km) állíthatók elő 1550 nm-re. Változó törésmutatójú és egymódusú szálak előállíthatók így.
Az OVD és VAD eljárásnál kloridokat redukálnak, melyek gázneműek (hidrolízis)

Ezek közül az oxidok szilárd, a többiek gáz halmazállapotúak.
Az OVD módszernél egy forgó rúdra választják le a porszemes anyagot metán-oxigén lánggal beindítva a reakcióját.

Így több réteg választható le. Ezután a kiegészítő rudat eltávolítjuk, a maradékformát felhevítik klorin atmoszférában és szinterelik –ekkor kialakul az átlátszó üveg. Ebből lehet kihúzni a szálat, akár 50-60 km hosszút is.

A magot és a köpenyt egyszerre csapatják le a magrúd végére. A magrudat 2.5 mm/mp sebességgel húzzák egy elektromos kályhában. Ott 1100-1200 oC-ra hevítik oxigén és thiomyl-oxid gőzben, eltávolítva a vizet és a hidroxid ionokat. Ezután a kb. 60 mm előformát egy másik szénkályhában kb. 1500 oC-ra hevítik, ahol kb. 20mm átmérőjű átlátszó rúddá válik. Germánium adalékolással állítható elő a kívánt törésmutatójú profil. AZ előállított szálak csillapítása kisebb mint 0.5 db/Km 1300 nm-en, a diszperzió kevesebb mint 0.2 ns/Km. A H2/O2 aránnyal változtatható a lecsapatás hőmérséklete, és így a törésmutató profil is.

Egymódusú szálak gyártásánál a maganyagot kvarc csőre húzzák, az lesz majd a köpeny. A tengelynél nem csökken a törésmutató, de a profil lekerekített. A mag átmérője nem tartható pontosan, ezért a hullámvezető csillapítás 0.4 dB/Km lesz.
A fluor adalékolás fluorid gyökök, pl. SF6, CClF2 vagy CF4 bevezetésével kivitelezhető.(a lángban, vagy a szárítás folyamán). Tiszta kvarc maggal és fluor adalékolt köpennyel 0.154db/Km csillapítást értek el 1550 nm-en (VAD). A szárítási módszerek a szén gyök tartalmat 10-10 alá csökkentik. Az OH- abszorpció 1300 nm-en kevesebb mint 0.1 dB/Km csillapítást okoz. Adalékolni lehet még az anyagot bevezetve a lángba, a vizes oldatot köddé változtatva. Ekkor nem kell klór vegyület.
Az IVD, belső gőzfázisú lecsapatással állítanak elő jóminőségű szálakat. Tiszta szintetikus kvarckő belsejében termikus oxidáció révén történik a leválasztás. A kő hossza ~ 1m, átmérője 15 mm, falvastagsága kb. 1 mm. Először a kő belső felületét tisztítják, marják és mossák. Ezután vízszintesen befogják, forgatják és egy oxifluorhidrogén lángot végighúznak rajta. A kő belsejében SiCl
4 és az adalékolt fluorid klorid, vagy bromid vegyületeit áramoltatják oxigénnel együtt. A kiinduló gázokat desztillációval tisztítják.
Először többször végigmennek a lánggal csak O
2-t áramoltatva belül. Ezzel polírozzák a belső felületet. Ezután lemaratják a köpeny, majd a mag anyagát (adalékok).Fokozatos törésmutatójú üvegnél akár 50-100-szor végigmehetnek a lánggal, a magot létrehozva fokozatosan növelve az adalék koncentrációt. Egy menet kb. két percig tart.
A gőzők és az oxigén között reakció lép fel, SiO
2 +adalékok (GeO2, B2O3) válnak ki.A lerakodott réteget hőkezelni kell, hogy üveggé alakuljanak. A teljes vastagsák 200
-300 m m.Tipikus reakciók:

A halogének valamint oxigén használata miatt, mivel nincsen vízgőz, nagyon kicsi a lecsapatott rétegben a hidroxid gyökök koncentrációja.
A reakciók gőzfázisban a csőben zajlanak le ®
modified chemical vapour deposition, MCVD.Korábban alacsonyabb hőmérsékletet és nyomásokat alkalmaztak, így a reakciók csak a felületen zajlottak le. MCVD gyorsabb rétegnövesztést eredményez, mikrohullámmal plazmát előállítva ez még gyorsabb lesz ®
plazma-affected CVD,PCVD.
A kályha 1200 oC, nyomás a csőben10-20 mbar. Mikrohullám 5 kW,2,45 GHz. Fimon bevonat képződik a plazmás részen. Ezt 0,1 m/s sebességgel húzzák végig a csövön. Sima változó törésmutatójú profil vagy egymódusú profilok adalékolhatók így.
A folyamat végén a csőt felhevítve az összenyomódik és egy 4-5 mm átmérőjű szál lesz belőle (1770 oC). Gondosan kell végezni, mert ettől függ a mag és köpeny koncentrációja és köralakúsága.
Ezen folyamat alatt az adalék a tengely felöl kifelé diffundál. Ezt csökkenteni kell pl. az adalék gáznyomásának növelésével.
A szál húzása és a köpeny kialakítása:
A szálat kihúzó toronyba húzzák. A torony teljes magassága akár 15 m is lehet.

Az előformát felületén marják és lánggal polírozzák, majd behelyezik az adalékolóba. A kál
yha 1900-2000 oC hőmérsékletű (indukciós kályha, szén dioxid lézer lehet.). Az átmérő kontrolálása igen fontos. Lézer megvilágítja a szálat, és fotodiódákat helyeznek el a diffrakciós mintában. Így az átmérő változása változtatja a fotodióda áramát, ez mint jel vezérli az előforma adalékolását és a szál debra csévélésének sebességét. 5-10 m/s sebességgel lehet feltekerni a szálat. Egy előformából 20-30 km-es szál készül 2-3 óra alatt.Az ár 100$/km alatt van.
A húzás sebességét korlátozza a húzás maga és a műanyag borítás. Az első műanyag réteg akkor kerül a szálra, amikor az kellően lehűlt. Ez kémiai kötéssel védi a kvarc felületét. Egyébként mikrorepedések keletkeznek, ez erősen csökkenti a szál szilárdságát. 5m/s húzási sebességnél a hűtési távolság 4m. A borítás általában ultraibolya sugárzással kezelt acrilát, két rétegben. Az első réteg kb. 40 m m vastag. A maradék réteg kemény és kicsi a felületének a súrlódási tényezője. Általában oldatból választják ki. Az átmérőt és a körpontosságot folyamatosan ellenőrzik. A védőköpeny eltávolítható mechanikusan vagy vegyi úton. Az anyagból ne szabaduljon fel hidroxid (csillapítás megnövekszik).
Ha a köpeny átmérője 125 m m, a védőbevonat átmérője 250 m m. réteg: 500 m m. 1 km-nél feltekerhető egy 30 cm-es dobra, kb. 100 g-ot nyom.
A szálat veszélyezteti a víz. Korrodálhatja a szál felületét és gyengítheti azt. Átdiffundál a védőbevonaton és elérheti a kvarcot. Néha ezért még kívülre egy fémes vagy kerámia bevonatot is készítenek.
Végül a szálat nagyszilárdságú műanyaggal vesszük körül, ez védi a tengely és keresztirányú erőktől.

Ezután a szálat egy felmelegített dobra tekercselik. A dob lehűl és a szál kicsit laza lesz.
A szál húzása és a köpeny kialakítása:
OVD, MCVDM PCVD, VAD
MCDV előforma eredetileg 3-5 km kábelhez volt elég. Nagyobb nyomással és jobb ellenőrzéssel nagyobb előformák is készíthetők. Az előforma összeroppanása után belehúzható a kvarc csőbe, mely a köpeny külső részét fogja képezni. Ez különösen az egymódusú szálak esetén fontos. Így MCVD előformákból 10 km-nél hosszabb változó törésmutatójú szál, valamint 30 km-nél hosszabb egymódusú szál húzható. Az OVD és VAD előformák általában nagyobbak, mint az MCVD előformák. Többször csőbe húzva 30 km-nél hosszabb többmódusú és 100 km-nél hosszabb egymód
usú szál húzható.A VAD szálak törésmutató profilja finomabb, mint az MCVD szálaké, de nehezebb a precíz profil kialakítása és az éles átmenetek a mag-köpeny határfelületen.
Az MCVD előformák két hibával rendelkeznek-, ez átmegy a szálba is. Rétegenként változik a törésmutató és a tengely mentén értéke lecsökken majdnem az adalékolatlan kvarc értékére. Ennek oka a rétegek lecsapatása utáni hőkezelés. Ha a GeCl
4 gőzből kevés foszforoxikloridot adalékolnak, csökkenhet a lecsapatás hőmérséklete és így a periodikus váltakozás. A középső bemélyedést az adalékanyagok kipárolgása okozza az összeroppanási fázisban. Ha ezalatt növelik az O2 és Cl2 valamint az adalékanyag gőz nyomását, ez a hatás csökkenthető. A fluor alkalmazása a leghatásosabb az MCVD eljárásnál és a legnehezebb az OVD és VAD-nál.Az MCVD eljárásnál a reagensek tiszták legyenek, és speciálisan tisztítani kell azokat. A VAD-nál a porózus előforma szárítása alapvető része a folyamatnak. Az összenyomás idején mindkét eljárásnál vízgőz diffundálhat ki a bevonatból. Ennek megakadályozására néhány mikron, Ge-adalékolt (és F) kvarcot választanak le a mag-köpeny átmenet kialakítására. Ez a réteg vízgőz pufferként viselkedik. Speciális,- nem hengeres szálak is húzhatók Ilynek pl. a polarizáció fenntartó, valam
int a D-szál.
Ezeknél a fény polarizációs síkja állandó marad. A bór adalékolt részek hőtágulása más, mint a tiszta kvarcé, ez feszültséget kelt. A bór adalékolt részt az IVD eljárás folyamán úgy állítják elő, hogy végighúzzák a
lángot, és közben nem forgatják. A D-szálnál a magot közel visszük egyik oldalon egy sík felülethez. Itt ki lehet csatolni a fényt.Szálerősség (Fiber Strength):
Az elméleti szakítószilárdság (Termite Leaking Stress) ~ 20GPa. A gyakorlatban ennél sokkal kisebb, kb. 5 GPa. Mikrorepedések keletkeznek, melyek mérete növekszik a feszültség és a korrózió miatt. A hidroxid ionok elősegítik az atomi kötések felszakadását. A repedések miatt annak csúcsán megnő a mechanikai feszültség. A szakadási szilárdság is csökken ha nő a repedések száma. A szál ott a leggyengébb, ahol legmélyebb a repedés.
A szakadás valószínűsége (Probability Of Fracture):
![]()
ahol s az alkalmazott feszültség, L szálhossza?, és m a tapasztalati konstansok.
lg(1-p)-1-et ábrázolva lgs függvényében kapjuk a Weihull eloszlást, ez ideális görbe.
A mért adalékra egyenest illesztve m az egyenes meredekségét L pedig helyzetéból meghatározható.
Fontosabb paraméterek:
A hibáig eltelt minimális idő: t
f állandó feszültség alatt (Statikus kifáradás) (Static Fatigue). Ezt a repedések növekedésének sebessége és a környezeti tényezők határozzák meg.Tf=As -n, ahol A=áll., n» 20.
A frissen húzott szálat tengelyirányú feszültségnek teszik ki kb. 1 mp-ig.
A vizsgálati fezsültség jóval nagyobb, mint a felhasználás folyamán várt feszültség.
A hibás részt kivágják, a maradékot összeillesztik. A görgőket gumival borítják, hogy ne sértsék meg a műanyagot. A garantált szilárdság itt nem sokkal kisebb a vizsgálati szilárdságnál.
A tengeralatti kábeleket nagyobb szilárdságra vizsgálják, mint a szárazkábeleket (1,38*0,35GPa).
Fektetésnél és kiemelésnél ez szükséges. Kifáradásnál, ha n=20 és s feszültséget alkalmaznak 1mp-ig a vizsgálatnál, az egyenértékű 0.35s -val negyven éven keresztül. Hosszú idejű feszültségeket általában a vizsgálati 20% alatt tartják, a rövididejűeket kb. 60% alatt.
Feszültség hatására a kvarc szálak nyúlnak rugalmasan a szakadásig. Az atomok közti kötés nyúlik és elfordul.
Kábelek:
A húzótoronyból kijövő optikai szálak további védőréteget kapnak. Vagy egy szál lesz, és akkor még kap egy védőréteget, vagy kábellé fognak össze több szálat, akár több ezret is. Az egy szálas kábelek esetleg szoros felcsévélése mikrorepedéseket okozhat, a külső nyomás és torzulás, pedig mikrohajlítási veszteségek
et okozhat. A sekély tengeri kábeleket védeni kell a halak ellen, a szárazföldi kábelt a rovarok ellen. A kábelt úgy kell tervezni, hogy védje a szálat a mechanikai feszültség ellen, ezért teherhordó elemet is tartalmaz (acélháló, polimerháló, kevlár vagy szénszálak). Rézszálakat is tartalmazhat, ezen keresztül lehet tápfeszültséggel ellátni a távoli átjátszó erősítőket és hangcsatornát biztosít a szerelés fázisában.A kábelek fajtái:
Az elemi kábelek vagy lazán vannak a csőben, vagy szorosan. A teherhordó elem vagy központban helyezkedik el, vagy a védőbevonat részét képezi. A kábeleket általában 1 km hosszú alagutakba húzzák be, a teherhordó elemnél fogva, kb. 5-10 KN erővel. A légkábeleket a jég vagy a szél is igénybe veszik. A tengeri kábelek igénybevétele elhelyezéskor ill. felszedéskor 40 ill. 75 KN. A laza elhelyezésű szálaknál a szálak szilárdburkolatú csövek
ben vannak, ezek átmérője 1-2 mm (alumínium vagy polietilén). Ezekből 6-20 található, és csövenként egytől tizenkét szál található bennük. Ezek a csövek ki vannak töltve kocsonyás anyaggal, mely víztaszító és csillapítja a szálak mozgását. A kábelek külső átmérője 15-25 mm, súlya 200-600 kg/km. A csatornák spirálisan helyezkednek el a középső teherhordó elem körül. A szálak tudnak így mozogni a csövön belül:A szálak hosszabbak a csöveknél, így nem feszülnek meg, ezért kisebb teherhordó tag szükséges.
A szoros tekercselésű szálak jobban hajlíthatók és jobban ellenállnak keresztirányú erőknek. Katonai alkalmazásokban használják elsősorban, továbbá víz alatt. Hajlamosak a mikrohajlításokra, csak idővel kisimulnak.
Szoros tekercselésű kábel:

Mélytengeri alkalmazásokban ezt még acélhuzalokból fonott köpeny és újabb műanyag burkolat veszi körül.
Összeillesztések és csatlakozások:
Az összeillesztés (splice), az állandó kapcsolatot jelent, míg a csatlakozások, konnektorok bonthatók. Lehet egy vagy több vezeték között. Csillapítást okoznak, így az illesztetlenségre egy felső tűréshatár létezik. Különbségek lehetnek NA-ban, törésmutató profilban, mag és köpeny átmérőben, koncentrikusságban. A módus foltméreteket kell alapvetően jól elhelyezni. Többmódusú szálak esetén a veszteség nem csak az illesztéseknél léphet fel, mivel az illesztésnél olyan módusok is keletkezhetnek, amelyek tovább haladva kiszóródnak a szálból.
A szálak végének a kis veszteség érdekében tisztának, simának és merőlegesnek kell lenni a tengelyre, vagy pontos szöget kell bezárnia vele. Ferde vágat készítéséhez adott alapon meghajlítják a szálat és megkarcolják a külső felületet. Ennek hatására az üveg adott szöggel elhasad. A szög függ a csavarási szögtől. 1
o/cm csavarás kb. 1o-al eltérő hasadást eredményez a tengelyre merőleges iránytól.Összeillesztések (splices):
Kábelcsatornába max. 1-2 km hosszú kábel húzható be, ekkor a behúzó erő meg nem éri el a szakító erőt, ezért szükségesek az összeillesztések. A két szálvég összeolvasztható (fuse
d), vagy törésmutató illesztett ragasztóval összeragasztható (glued). Mindkét esetben a kötés megszilárdulásáig a készülék tartja a szálat. Összeolvasztásnál elektromos kisüléssel olvasztják meg a szál végét, a felületi feszültség segíti a szálak összeillesztését. Az illesztési veszteség akár 0,1 dB vagy kisebb is lehet.Csatlakozások fő hibái:

Az összeillesztések szilárdsága minimum 2 GPa, átlagos 3GPa. Ragasztott illesztéseknél kis tüskét alkalmaznak, mely befogja a szálat, a ragasztót és egy központosító betétet. Egy üveg hüvelyt húznak a kötésre védelem céljából. Általában UV-vel szilárduló epoxit használnak. Az átlagos veszteség 0,2 dB körüli, a reflexió -40 dB.
Csatlakozók:
A fényforrásokat és detektorokat tartósan rövid üvegszálhoz kötik, és ezt a szálat csatlakoztatják a fő üvegszálhoz. Így az egységek külön tesztelhetők és cserélhetők.
A csatlakozók jósága attól függ, hogy a szálak magját milyen pontosan illesztik egymáshoz. A csatlakozók fő hibái az előző oldalon láthatók, többmódusú GI szálakra. A csatlakozásnál a módusok eloszlása megváltozik, ill. a teljesítmény eloszlása a módusok között, így a veszteség függ a beérkező móduseloszlástól. A csatlakozó után a szálban megnő a csillapítás, amíg az egyensúlyi móduseloszlás beáll. Modern szálaknál ez a távolság több kilométer is lehet, így a következő csatlakozóig sem áll be az egyensúly.

A móduseloszlás hatása az offset veszteségre.
Különböző szálak illesztési veszteségei:

Szálak jellemzői:
|
Mag-köpeny átmérő (m m) |
NA |
|
|
A |
50/125 |
0,23 |
|
B |
62,5/125 |
0,29 |
|
C |
85/125 |
0,275 |
|
D |
100/140 |
0,29 |
Egymódusú szálaknál, a fém Gauss eloszlását tételezve fel, számolható a csatlakozási veszteség.

ahol,
, ahol, wR és wT a vevő és adó Petermann II. sugaraA képletben szerepel a Fresnel reflexió veszteség a szálak végén, a módusátmérők illesztetlenségéből származó veszteség, valamint a geometriai illesztetleségek hatása.
Konnektorok konstrukciója: legtöbben szorítópántokat használnak a szálak illesztésére, mások három gömböt stb.. A legfejlettebb típusoknak, melyeket nagysebességű összeköttetéseknél használnak, (kis reflexió) fizikai kontaktus van a két szál között. A határfelület 5-6 %-kal eltér a tengelyre merőlegestől. Ha van köztük levegő, a Fresnel reflexió 0,32 dB veszteséget okoz. A tiszta üvegszálat általában beragasztják a konnektorba, PCS szálak megszoríthatók a csatlakozóban.
SMA csatlakozót széles körben használják sokmódusú szálhoz. Vesztesége kezdetben csak 0,1 dB, de a használat során (bontás, piszkolódás, karc stb.) ez nő. Rendszer szinten kb. 3 dB-t terveznek veszteségként.

STTM-t szintén többmódusoknál használják, bajonetzárral (mint a BNC csatlakozók). Tiszta környezetben kb 0,5 dB a vesztesége.
FC-t egymódusú és többmódusú szálaknál is használják. PC változat (Plupical Contact) és APC-n (Angled Plupical Contact). Különösen kicsi a reflexiója (-30 dB), a veszteség kb 0,2 dB. Precíziós szorítója van, kerámia kapillárissal (szálvezető), elfordulás elleni védő mechanizmussal.
A PC változatban a szálvéget 60 mm sugárral gömbfelületre polírozzák. A mechanikai illesztetlenség veszteségét csökkenti a tágított sugaras csatlakozó. Az illesztetlenség tűrése így 10-20 szorosra megnőhet.

Csatolók (couplers):
2x2-es vagy 3 dB-es összeolvasztott csatoló.
Az egyik oldali szálon belépő fény egyenletesen eloszolva lép ki a másik oldali két szálon. A szálakat összetekerik, összeolvasztják nagy hőmérsékleten és meghúzzák. A magok elvékonyodnak, a módusmezők kitágulnak és összekeverednek.
Többmódusú szálaknál a magasabb rendű módusok nem-vezetettek lesznek, kilépnek a köpenybe és így a másik szál magjával kölcsönhatásba lépnek. A teljesítmény fokozatosan megy át a másik szálba. A húzás mértékétől függ a teljesítménymegoszlás, így az 1:1-től lehet különböző is. Több szál összecsatolható, NxN-es csatoló készíthető így.
Az átvitelt a teljesítményátviteli mátrix írja le. Veszteség velejáró, -3 dB a teljesítmény kettéosztásából [10lg(N)].
A második a nem teljesen pontos felezésből adódik. A harmadik a csatoló saját vesztesége, ami 1 dB lehet körülbelül. A reflexió igen kicsi.
A 2x2-es csatolásnál az alapmódus kimegy a magból a köpenybe, csatolásba lép a többi szállal, és így a teljesítmény megosztási arány periódikusan változik a csatoló mentén, így a megosztás hullámfüggő adott hosszúságú csatoló esetén.

Így különböző hullámhosszúságú vivők vagy elválaszthatók vagy kombinálhatók. 4x4-es és 8*8-as csatolók is készíthetők 2x2-es csatolókb
ól.
Így különböző hullámhosszúságú vivők vagy elválaszthatók vagy, kombinálhatók. 4x4-es és 8x8-as csatolók is készíthetők 2x2-es csatolókból. Lehetséges 1x4, 1x7, 3x3, 4x4 és 5x5 egymódusú csatlakozókat is készíteni. Precíz méretű csőbe (kis törésmutató
val) elhelyezve a szálakat és meghúzva. A fény átmegy így a többi szálba.
Szálparaméterek: specifikáció és mérés
Köpeny és magátmérő, NA, törésmutató-profil, csillapítás, impulzusdiszperzió.
A Blue Book G.651 és G.652 ajánlásai CCITT. A mérésekre USA-ban az Electronics Industries Association (EIA) kb. 200 tesztet publikált.
Egymódusú szálaknál szabvány tesztek vonatkoznak a módusátmérőre, a nagyobb módus levágási hullámhosszára, valamint a minimális diszperzió hullámhosszára. A magátmérő meghatározása
is bonyolultabb azon pontok sora, ahol 5°-os a növekedés a köpeny törésmutatójához képest. Ezen pontokra kell egy kört illeszteni.Fontos az optikai teljesítmény pontos mérése. Detektor érzékenységének hullámhosszfüggése, beeső fény szöge, csatolás stb. befolyásolja. Véges spektrális szélesség esetén numerikusan kell integrálni. Lencsével célszerű párhuzamos fénysugarat előállítani.
A detektor érzékenységét kalibrálni kell a hullámhossz függvényében. A mérés pontossága így kb. +5…+10%.
A szál legfontosabb paraméterei a csillapítás és a diszperzió, ezt szélesebb hullámhossztartományban kell megmérni. Többmódusú szálaknál a tengelyirányú hullám kevésbé szóródik ki a mikrohajlatoknál vagy hullámvezető szóródás következtében, mint a tengellyel szöget bezáró sugár (differenciális módusú csillapítás). Ezért fontos méréskor a fényforrás és a mechanikai körülmények megadása.
Betartani kell egy egyensúlyi móduseloszlást- ez jön létre a szálban hosszabb terjedési út befutása után.

Scrambler: módus összekeverő, minden módust azonosan gerjeszt, a forrás jellemzőktől függetlenül. A módusszűrő eltávolítja a nem kívánt módusokat, amelyek nem lennének jelen normális esetben az egyensúlyi móduseloszlásban (pl. átmenet a 20 mm-es magon). A köpeny módus leválasztható, elsug
ározza a köpenyben terjedő módusokat. Egy rövid szakaszon a szálat egy olyan anyagba merítik, amelynek törésmutatója nagyobb, mint a köpenyé.Törésmutató-profil mérése:
632,8 nm-es He-Ne lézerrel mérik, az eredményt extrapolálják másik hullámhosszra a diszperziós karakterisztika ismeretében. Fajtái: a törésmutatós és az interferenciás. Az előbbiek közül legfontosabb tört közeltéres módszer.

A lézer fénye körpolarizált, mely a szál gondosan polarizált felületén belép ( a szál hossza kb. 1 m). Az első
optika NA-ja legyen nagyobb a szálénál. Így a szál valamennyi vezetett és szivárgó módusát gerjesztik. A fókuszált fényfolt maximum 1,5 μm átmérőjű lehet, így 0,5 μm feloldás érhető el. A szál elejéről eltávolítják a köpenyt, és egy törésmutató illesztett folyadékba helyezik. A fény egy részét elvezeti a szál, más részét a folyadékon áthaladva összegyűjtik a lencsék és a detektorra fókuszálják. A tengelyirányba elhelyezett tárcsa megakadályozza a szivárgó módusok kilépését. Az így összegyűjtött fény közvetlen kapcsolatban van a belépési pont törésmutatójával, kalibrálható relatív vagy abszolút egységekben. A szál teljes keresztmetszete így letapogatható.A közel és távoltér intenzitás-eloszlása a szálban:
A közel és távoltér intenzitás-eloszlások kapcsolatban vannak egymással és a geometriával, valamint a sokmódusú szálak NA-jával, és az egymódusú szálak módusmező-átmérőjével. A kiindulási optika töltse túl a szálat, a köpenyen a módusokat el kell távolítani, és a kívánt móduseloszlást létrehozni.
Átvitt közeltér módszer (transmitted near-field technique) esetén egy detektorral tapogatják le a szálból kilépő sugár felnagyított képét.

A felbontást a tűlyuk határozza meg.
Offset csatlakoztatás módszere esetén (offset joint) a becsatolt teljesítmény intenzitását mérik, miközben a két szálat adott mértékben eltolják egymáshoz képest keresztirányban.
Távoltér letapogatása (scanned far-field): A szál végétől legalább 20 mm távolságra tapogatja le a teret a szög függvényében.

Csillapítás mérések:
Visszavágásos módszer (cut-back): Adott hullámhosszon vagy szélessávú forrás és monokromátor segítségével több hullámhosszon is mérhető. Adott, ismert hosszúságú szál végén megmérik a kilépő teljesítményt, majd 2 métert levágnak a szálból, és ismét mérik a kimenő teljesítményt (fénybeléptetés körülményei közben nem változnak). Sokmódusú szálaknál létre kell hozni az egyensúlyi móduseloszlást. Egymódusú szálaknál arra kell vigyázni, hogy a magasabb módusok ne terjedjenek a levágandó hosszon.

Optikai időtartománybeli reflektométer (OTDR): A szál egyik végének lehet mérni, nem-destruktív, korlátozott pontosság. Optikai impulzusokat bocsátanak be a szálba, és mérik a reflektált hullámot, mindkettőt megjelenítik egy megjelenítőn. A reflexió több helyről származhat – a távolabbiak a csillapítás miatt kisebb jelet adnak. A megjelenített jel meredeksége összefügg a csillapítással.

Meghatározható valamely hiba helye is a szálban (ekkor ugyanis: nagyobb a reflexió). A
visszaverődött jel sugárbontón-csatolón keresztül jut a fotodiódára és az erősítőre.
Sávszélesség mérése:
Demodulált jel osztva a moduláló bemenő jellel a frekvencia függvényében. Gauss görbére illesztik, ez a sávhatáron a teljesítmény maximum értékének a felére csökken ( -3 dBopt = -6 dBelektr /sávszélesség/). A moduláló jel lehet impulzus is, és annak kiszélesedését figyelik. Ez az időtartománybeli mérés (referencia teszt módszer). A frekvenciafüggést Fourier-transzformációval kapják. Használható közvetlen változó frekvenciájú szinuszos jel
is. A forrás spektrális szélessége ne legyen nagyobb, mint 5 nm a 800-900 nm-es sávban, vagy 10 nm az 1200-1350 nm-es sávban. Először az adót és a vevőt közvetlenül összekötik egy rövid szállal, kalibráció céljából. Ezután beiktatják a mérendő szálat, és újra mérnek. Majd levágnak kb. 2 m-t a szálból és újra mérnek.
Az átvitelt a két mérés különbségéből számolják.
Egymódusú szálak kromatikus diszperziós együtthatóját is mérik a hullámhossz függvényében, t(l) az egységnyi hosszra eső terjedési késedelem. Impulzussal mérik, vagy szinuszos modulált jel fázisváltozásából:
t (l) = θ(λ)/(2pf)
A fényforrás lehet diódasor vagy szélessávú forrás és monokromátor.
Szélessávú forrás: Raman szóródás a szálban. Nd-YAG lézer megvilágítással 1 kW impulzusokkal l = 1,1 ... 1,7 μm. 1500-1600 nm tartomαnyban a mérést a
t (l) = τ0 + 0,5 S0 (l – λ0)˛
kifejezéshez illesztik, τ0 a minimális diszperzióval felvett érték, S0 a gradiens
D(t) = dt = S0(l – λ0)
dl
Levágási hullámhossz mérése:
Egymódusú szálak magasabb módusai levágási frekvenciájának mérése. 2 m hosszú szálat 140 mm sugárban meghajlítanak és megvilágítják LP01 és LP11 módusokat keltve. A forrás spektrális vonalszélessége ne legyen nagyobb 10 nm-nél. Mérik a kimenő teljesítményt θ1(l)-t a várt levágási hullámhossz körüli frekvenciákon. Ezután legalább egy 30 mm sugarú hurkot képeznek és megint mérik a kimenő teljesítményt, θ2(l)-t.
R(l) = lg[θ1(l)/ θ2(l)] , ezt ábrázolva az alábbi görbét kapjuk.

Rövidebb hullámhosszakon mindkét módus terjed. A határhullámhosszhoz közelítve a magasabb rendű módus szivárgóvá kezd válni és nő a hurok alakú szál csillapítása. A határhullámhossz felett a magasabb rendű módus már nem terjed, így a kimeneti teljesítmény azonos lesz hajlított illetve a nem hajlított szál esetén is.